671. 二叉树中第二小的节点
题目:给定一个非空特殊的二叉树,每个节点都是正数,并且每个节点的子节点数量只能为 2 或 0。如果一个节点有两个子节点的话,那么该节点的值等于两个子节点中较小的一个。
更正式地说,root.val = min(root.left.val, root.right.val) 总成立。
给出这样的一个二叉树,你需要输出所有节点中的第二小的值。如果第二小的值不存在的话,输出 -1 。

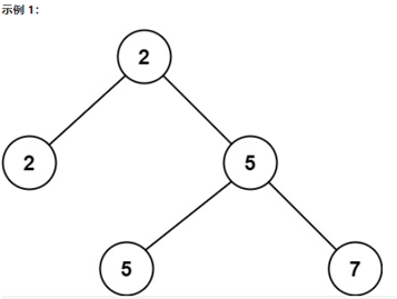
输入:root = [2,2,5,null,null,5,7]
输出:5
解释:最小的值是 2 ,第二小的值是 5 。

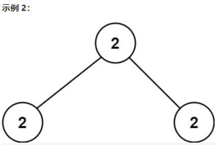
输入:root = [2,2,2]
输出:-1
解释:最小的值是 2, 但是不存在第二小的值。
class Solution {
public:
int findSecondMinimumValue(TreeNode* root) {
//空节点或不满足题意,返回-1
if(!root || !root->left || !root->right) return -1;
int left = root->left->val;
int right = root->right->val;
//根节点值与左节点相同,递归寻找左子树第二小节点
if(root->val == root->left->val) left = findSecondMinimumValue(root->left);
//根节点值与右节点相同,递归寻找右子树第二小节点
if(root->val == root->right->val) right = findSecondMinimumValue(root->right);
//根节点与左右节点值相同,返回-1
if(root->val == left && root->val == right) return -1;
//根据当前根、左右节点的值继续判断
int min_value = min(left, right);
//根节点值小于最小值,返回最小值
if(root->val < min_value) return min_value;
//根节点等于最小值,返回最大值
else return max(left, right);
}
};
时间复杂度为O(N),
空间复杂度为O(h)
版权声明:本文为cpb____原创文章,遵循 CC 4.0 BY-SA 版权协议,转载请附上原文出处链接和本声明。