最近一个月在学习RTKLIB中RTK和PPP的算法和代码,将原理部分梳理记录了一下,留给以后做参考。
一、模型部分
1.1 非差观测值
(1)伪距观测值

其中
分别为接收机和卫星之间真实距离、信号接收时刻接收机钟差、信号发射时刻卫星钟差、电离层延迟、对流层延迟、观测噪声。
(2)载波相位观测值


其中 为载波相位偏差项,
为由接收机和卫星的天线相位中心偏差、地球潮汐以及卫星和接收机之间的相位偏移所引入的误差,且有:
![]()
![]()
1.2 无电离层组合观测值

其中:

式中
分别为接收机和卫星对应的天线相位中心模型改正数,
为地球潮汐模型改正数,为相位漂移模型改正数。
1.3 对流层延迟模型
在PPP中,将对流层延迟分为干分量和湿分量两部分,且与接收机到卫星的仰角相关。将天顶方向对流层分量以及北向和东向的对流层梯度
作为状态变量加入到滤波器中进行估计,总体映射函数
与接收机到卫星方向的对流层延迟
可以表示为:

其中为天顶方向的干分量,可由Saastamoinen模型计算得到:

其中

为标准大气模型。
由式(1.9)可以得到:

1.4 接收机天线相位中心模型

图1 接收机天线相位中心模型示意图
上图为接收机天线相位中心模型示意图,ARP为天线参考点,APC为天线相位中心,PCO为ARP与APC之间的偏差,PCV为相位中心的变化,(受仰角和方位角影响)。不同天线类型的PCO与PCV的值经天线校准测量后以标准形式提供给用户,RTKLIB中支持ANTEX格式。
PCO的值通常在接收机所在ENU系中给出,由转换矩阵可以得到ECEF系中的数值。
![]()
PCV的值由仰角的线性插值得到:

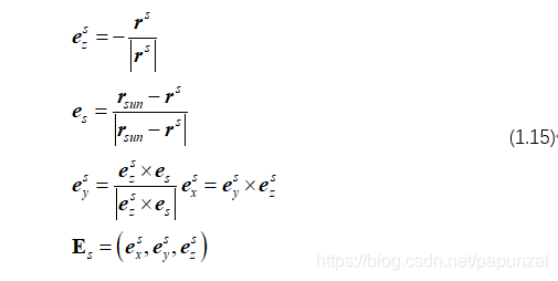
1.5 卫星天线相位中心模型

图2 卫星天线相位中心模型示意图

图3 卫星体坐标系示意图
卫星天线相位中心模型的示意图如图2所示,与接收机天线类似,PCO和PCV参数通常由IGS以ANTEX文件格式给出。其中卫星天线的PCO在卫星坐标系下给出,如图3所示,其坐标原点位于卫星的质心CoM。而PCV参数依然由临近角度的线性插值得到。
卫星体系到ECEF坐标系的转换矩阵为:

1.6 地球潮汐模型
固定于地面的接收机位置会受到地球潮汐的影响,在双差观测值中可忽略,但是在PPP中在垂直方向的影响有时会达到10cm。
RTKLIB中可选择进行地球潮汐改正,采用IERS Conventions 1996的地球潮汐模型。
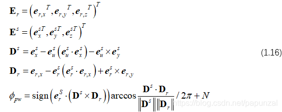
1.7 相位漂移模型
相位漂移效应指的是由接收机和卫星天线之间的相对旋转引起的相位提前或延迟,其模型如下:

其中N为整周模糊度。