Clarification:
- 导数:一个函数在x处的变化量,即:导数本身是一个标量,x向左或者向右的变化率。
- 导数的方向可以任意指定
- 偏微分:一个函数对其自变量变化率的描述,函数有多少个自变量就有多少偏微分
- 梯度:把所有的偏微分当作向量来理解,梯度有方向和大小
- 梯度的长度反映:函数的变化趋势,即当前点的增长速率
- 梯度的方向:在当前点的增长方向

一、How to search for minima?

1、Convex function
凸函数:在曲面上任意取两点:两点连线的中点的Z值(z1),大于曲面上该点对应的值(z2),即 z1 > z2,因此该曲面代表的函数是凸函数。

2、Local Minima

(1)实际例子——ResNet-56层
深度残差网络(Deep residual network, ResNet)的提出是CNN图像史上的一件里程碑事件。ResNet的作者何凯明也因此摘得CVPR2016最佳论文奖。
- ResNet就有很多的局部极小值,很容易陷在局部最小值里面
- 其实ResNet是解决了深度CNN模型难训练的问题
- ResNet通过残差学习解决了深度网络的退化问题,让我们可以训练出更深的网络,这称得上是深度网络的一个历史大突破吧。

3、Saddle point(鞍点)
鞍点是一个比局部最小值更可怕的点,在求解过程中很有可能卡到这个点影响最小值点的求解。

4、其他影响求解的地方
上面的局部最优解 和 鞍点都会影响最小值,还有一些因素也会对求解有影响:
- Initialization status(初始状态):初始状态不同会影响求解的最小值的大小(可能会出现求解的是局部最小值而不是全局最小值)
- learning rate:开始如果不收敛学习率先设置小一点让它慢慢收敛(比如:0.1,0.01, 0.001),后期慢慢收敛后可以适当调整大一些
- momentum(动量)
二、常见函数的梯度


三、激活函数
h(x)函数会将输入信号的总和转换为输出信号,这种函数一般叫做激活函数。激活函数的作用在于决定如何来激活输入信号的总和。
- 激活函数是连接感知机和神经网络的桥梁
- 一般而言,朴素感知机是指单层网络,指的是激活函数使用的是阶跃函数的模型;多层感知机指的是神经网络,即使用了sigmoid等平滑的激活函数的多层网络。

0、阶跃函数(感知机时代)
上述激活函数以阈值(threshold)为界,一旦超过阈值,就切换输出,这样的函数叫做:阶跃函数。其实激活函数从阶跃函数换成其他函数(平滑)就可以说是进入了神经网络时代
import torch
import numpy as np
from matplotlib import pyplot as plt
#阶跃函数,这种实现简单,但是不支持参数传递numpy数组
def step_function(x):
if x > 0:
return 1
else:
return 0
#参数可传递numpy数组方式的实现
def step_plus(x):
#判断操作,输出的y是一个布尔类型数组
y = x>0 #x>0判断矩阵中的值是否都大于0
#阶跃函数需要输出int类型,现在将其调整为输出int
return y.astype(np.int)
def draw_step_pic():
x = np.arange(-5.0, 5.0, 0.1)
y = step_plus(x)
#绘图
plt.plot(x, y)
plt.ylim(-0.1, 1.1) #指定y的范围
plt.show()
if __name__ == '__main__':
draw_step_pic()

1、激活机制
2、sigmoid (Logistic)

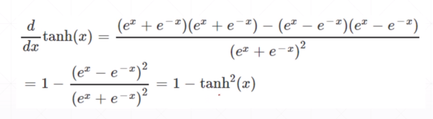
求导过程:

函数实现:
import torch
import numpy as np
from matplotlib import pyplot as plt
#sigmoid实现
#sigmoid函数能支持参数传递numpy数组是因为Numpy的广播功能
def sigmoid(x):
return 1 / (1 + np.exp(-x))
#绘制sigmoid函数的图形
def draw_sigmoid():
x = np.arange(-5.0, 5.0, 0.1)
y = sigmoid(x)
plt.plot(x, y)
plt.ylim(-0.1, 1.1) #指定y轴的范围
plt.show()
if __name__ == '__main__':
draw_sigmoid()
torch.sigmoid
import torch
import numpy as np
def detect_gpu():
print(torch.__version__)
print(torch.cuda.is_available())
#sigmoid函数
def test():
detect_gpu()
#从-100到100分成10份
a = torch.linspace(-100, 100 , 10)
print(a)
print(torch.sigmoid(a))
if __name__ == '__main__':
test()

3、Tanh
Tanh激活函数常用于RNN


torch.tanh
import torch
import numpy as np
def detect_gpu():
print(torch.__version__)
print(torch.cuda.is_available())
#sigmoid函数
def test():
detect_gpu()
a = torch.linspace(-1, 1, 10)
print(a)
print(torch.tanh(a))
if __name__ == '__main__':
test()

4、ReLU(Rectified Linear Unit)
ReLU函数可以说是目前深度学习的奠基石,主要原因在于:深度网络在向后传播的时候。ReLU函数的导数很稳定为1,不会放大也不会缩小,不会出现梯度离散或者爆炸情况

ReLU函数实现
import torch
import numpy as np
from matplotlib import pyplot as plt
#ReLU函数实现
#ReLU函数输出的特点:输入大于0直接输出该值,小于0
def relu(x):
#np.maximum(0, x)函数会从输入的数值中选择比较大的数值进行输出
return np.maximum(0, x)
#绘制图形
def draw_relu():
x = np.arange(-5.0, 5.0, 0.1)
y = relu(x)
plt.plot(x, y)
plt.show()
if __name__ == '__main__':
draw_relu()
案例
import torch
from torch.nn import functional as F
#sigmoid函数
def test():
a = torch.linspace(-1, 1, 10)
print(a)
#torch.relu
print(torch.relu(a))
#F.relu方式
print(F.relu(a))
if __name__ == '__main__':
test()

四、LOSS及其梯度

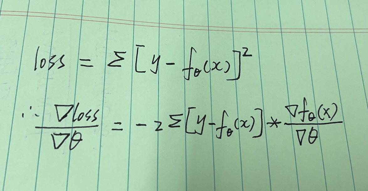
1、MSE

2、Gradient API

(1)autograd.grad求导
autograd.grad是torch的自动求导的函数
import torch
from torch.nn import functional as F
#autograd.grad自动求导
#pred = x*w + b
def test():
x = torch.ones(1)
print(x)
w = torch.full([1], 2.)
print(w)
#设置参数需要梯度信息
w.requires_grad_()
#构建图,PyTorch是基于计算图来完成求导的
mse = F.mse_loss(torch.ones(1), x*w)
print("mse: {0}".format(mse))
print(torch.autograd.grad(mse, [w]))
if __name__ == '__main__':
test()

(2)loss.backward
import torch
from torch.nn import functional as F
#autograd.grad自动求导
#pred = x*w + b
def test():
x = torch.ones(1)
print(x)
w = torch.full([1], 2.)
print(w)
#设置参数需要梯度信息
w.requires_grad_()
mse = F.mse_loss(torch.ones(1), x*w)
print("mse: {0}".format(mse))
print(mse.backward())
print(w.grad)
if __name__ == '__main__':
test()

3、Softmax
softmax用于多分类过程中,它将多个神经元的输出,映射到(0,1)区间内,可以看成概率来理解,从而来进行多分类!这里描述用于分类的 Cross Entropy算法,该算法一般结合 Softmax一起使用
- softmax满足每一个值的取值区间在0~1,所有的概率加起来和是1
- softmax会把原来大的放的更大,原来小的压缩在一个比较密集的空间
softmax直白来说就是将原来输出是3,1,-3通过softmax函数一作用,就映射成为(0,1)的值,而这些值的累和为1(满足概率的性质),那么我们就可以将它理解成概率,在最后选取输出结点的时候,我们就可以选取概率最大(也就是值对应最大的)结点,作为我们的预测目标!
参考博客:softmax函数以及相关求导

import torch
from torch.nn import functional as F
def test():
a = torch.rand(3)
print(a)
#参数设置梯度信息
a.requires_grad_()
p = F.softmax(a, dim=0)
print(torch.autograd.grad(p[1], [a], retain_graph=True))
print(torch.autograd.grad(p[2], [a]))
if __name__ == '__main__':
test()







