题目:
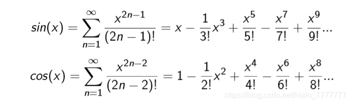
求tanx,已知麦克劳林公式
思路分析:
-
先设定两个函数,一个pwr算乘方或者用#include<math.h>的pow()来计算,另一个fac算阶乘
-
利用循环,将sinx和cosx依据麦克劳林公式代入上述两个函数中即可求出
-
tanx = sinx/cosx
注意:x的0次方为1,0和1的阶乘为1
代码实现:
#include<stdio.h>
float pwr(float x, int n)
{
int i = 0;
float powers = 1;
// printf("n = %d\n",n);
if(n == 0)
{
// printf("yes\n");
return 1;
}
for(i = 1; i <= n; i++)
{
powers = powers * x;
}
// printf("power = %f\n",powers);
return powers;
}
int fac(int n)
{
int i = 0;
float pdt = 1;
if(n == 0 || n == 1)
{
// printf("yes\n");
return 1;
}
for(i = 2; i <= n; i++)
{
pdt = pdt * i;
}
// printf("pdt = %f\n",pdt);
return pdt;
}
int main()
{
int k = 0, i = 0, j = 0, cons = 1;
float x = 0, s = 0, c = 0, sin = 0, cos = 0, tan = 0, y = 0; //用y将弧度制转换为角度制
const float pi = 3.1415926;
printf("Input the angle:");
scanf("%f",&y);
x = y*pi/180;
for(k = 1; k <= 11; k++)
{
i = 2 * k - 1;
j = 2 * k - 2;
s = cons*pwr(x,i)/fac(i);
c = cons*pwr(x,j)/fac(j);
cons = -1*cons;
// printf("cons = %d\n",cons);
sin = sin + s;
cos = cos + c;
}
tan = sin/cos;
printf("sin(%.0f) = %f cos(%.0f) = %f tan(%.0f) = %f",y,sin,y,cos,y,tan);
return 0;
}
运行结果:
如要求tan45°

附加:
代码中注释掉的printf是用在debug程序的时候
版权声明:本文为Halo_7777777原创文章,遵循 CC 4.0 BY-SA 版权协议,转载请附上原文出处链接和本声明。
