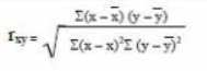
1、皮尔逊相关系数 (Pearson Correlation Coefficient)是衡量两个值线性相关强度的量,取值范围:[-1, 1],正向相关:>0,负向相关:<0,无相关性:=0

上式又可以表示为:

R^2是皮尔逊相关系数的平方,依然是表示两个值线性相关强度的量,取值范围:[0, 1],值越大,相关性越强。
import numpy as np
def computeCorrelation(x, y):
xBar = np.mean(x)
yBar = np.mean(y)
covXY = 0
varX = 0
varY = 0
for i in range(0, len(x)):
diffxx = x[i] - xBar
diffyy = y[i] - yBar
covXY += (diffxx * diffyy)
varX += diffxx ** 2
varY += diffyy ** 2
return covXY / np.sqrt(varX * varY)
x=np.linspace(-0.5,0.5,10)
noise=np.random.normal(0,0.02,10)
y=2*x+1+noise
R = computeCorrelation(x, y)
R2 = np.square(R)
print(R2)
运行结果:
0.9994448592313179
2、R^2还可以由下式计算得到,yihat表示预测值,yi表示真实值,ybar表示真实值的均值

import numpy as np
def computeCorrelation(x, y, degree):
result = {}
coeffs = np.polyfit(x, y, degree) # degree表示N次拟合
result['coeffs'] = coeffs.tolist()
p = np.poly1d(coeffs) # 得到拟合方程
yhat = p(x) # 得到预测值
ybar = np.sum(y) / len (y)
SSR = np.sum((yhat -ybar)**2)
SST = np.sum((y - ybar)**2)
result['R2'] = SSR / SST
return result['R2']
x=np.linspace(-0.5,0.5,10)
noise=np.random.normal(0,0.02,10)
y=2*x+1+noise
R2 = computeCorrelation(x, y, 1)
print(R2)
运行结果:
0.999732826660141
版权声明:本文为wxsy024680原创文章,遵循 CC 4.0 BY-SA 版权协议,转载请附上原文出处链接和本声明。