论文:“Probabilistic Face Embeddings”

1、大致流程是,先训练模型,再固定模型参数,finetune不确定性分支,损失是相同人之间的MLS越大越好。

1a、不确定性分支由两个全连接层构成,详见:

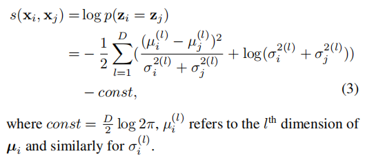
1b、MLS 指 mutual likelihood score,具体公式如下:

1c、损失函数如下:

2、加入不确定性的特征融合。不确定性和质量成反比,当不同维度的不确定性相同,即退化成按质量的特征融合。



版权声明:本文为blueblood7原创文章,遵循 CC 4.0 BY-SA 版权协议,转载请附上原文出处链接和本声明。
原文链接:https://blog.csdn.net/blueblood7/article/details/107711787