啊啊啊啊我不想重开啊

好好复习!!!!!

大一上期中求过

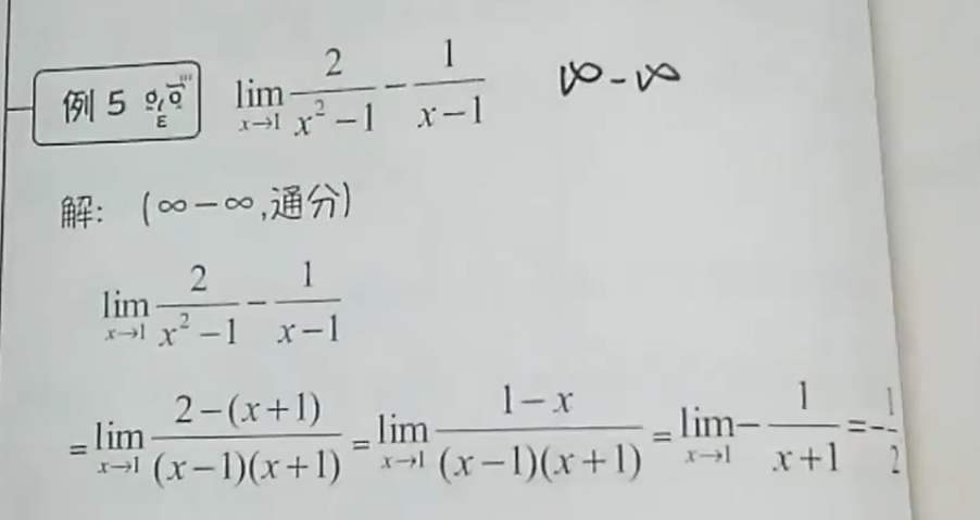
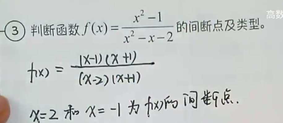
间断点

出题形式:

 

判断间断点的方法

 对于一些特殊的

 对于这种:arctan1/x

我们也要考虑左右极限的情况:

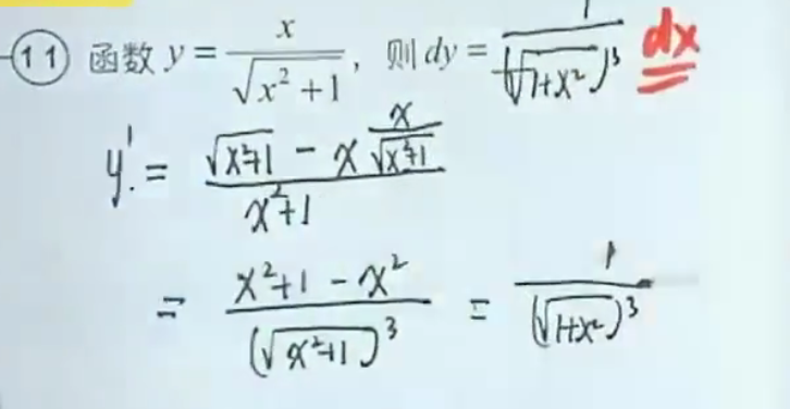
 习题:

1.

步骤1求间断点

 步骤二求对应间断点的极限 

当趋近于这个间断点的时候求极限

间断点1

存在极限2 那么就可以推出左右极限都存在且相等

但是在x==1处 无定义

那么为第一类可去间断点

 间断点2的极限趋近于无穷大  那么极限不存在

为第二类无穷间断点

 总结:

间断点的意思就是函数式在这一点处取不到  即是无定义

1.左右极限存在  那么为第一类间断点

2.左右极限只要有一个不存在 那么就为第二类间断点

例二:

步骤1 先看看这个函数在哪个点处是无定义的

步骤二:求趋近于间断点时  函数式的极限

根据极限的值 来判断间断点的类型

存在则为第一类  左右极限相等则为可去  反之为跳跃

极限不存在时

为第二类间断点

 

 例三:

这个题要判断左右极限的值

分段函数要在分段点处判断

 

零点定理:

介值定理:

 解题步骤:

例题:

 

解答:

例子:介值定理:

 渐近线:

 

例子: 

 

 找渐近线的时候:

我们看它是否可以趋近于一个值或者无穷

看极限趋近于这两个时  对应的x值是取多少

 

 当求极限时:

出现分子分母之比等于无穷大/无穷大 时

我们采用抓大头的方法

分子分母同除最高次方

间断点:

形式1:

A(x)/B(x)类型:

0/0型:可去间断点

k/0型:无穷间断点 

 步骤1 :先找出函数式无定义的点

步骤二:在x趋近于间断点的时候  看看极限

 例子:

 

 出现:

这种题型得考虑左右极限:

 

 

 零点定理:

 

7

 

 

 零点题型:

1.构造函数

2.带端点到函数判断符号

 

 找渐近线的时候:

1.找x趋近于无穷时找水平渐近线

2.找极限趋近于无穷时找铅直渐近线

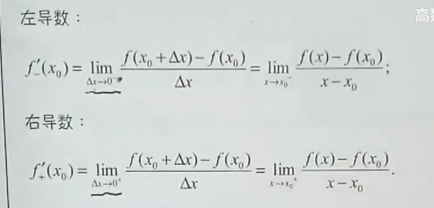
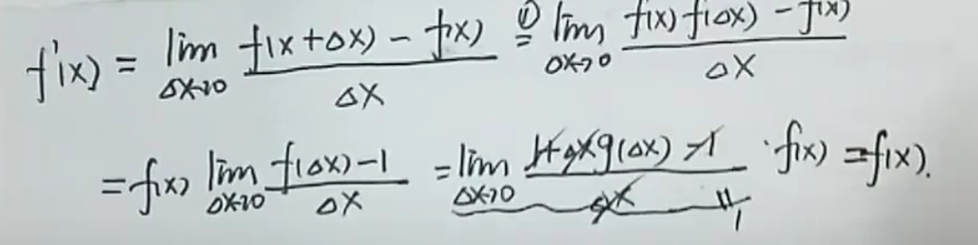
导数:

 

 

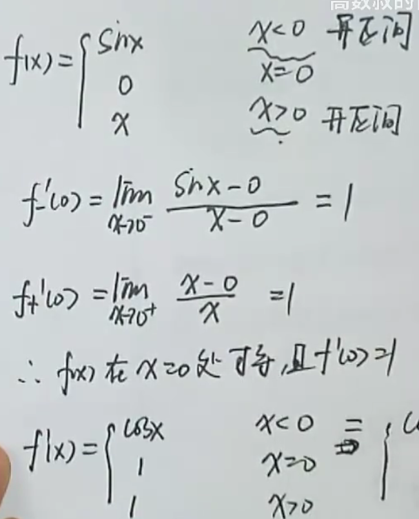
 1.可导必连续

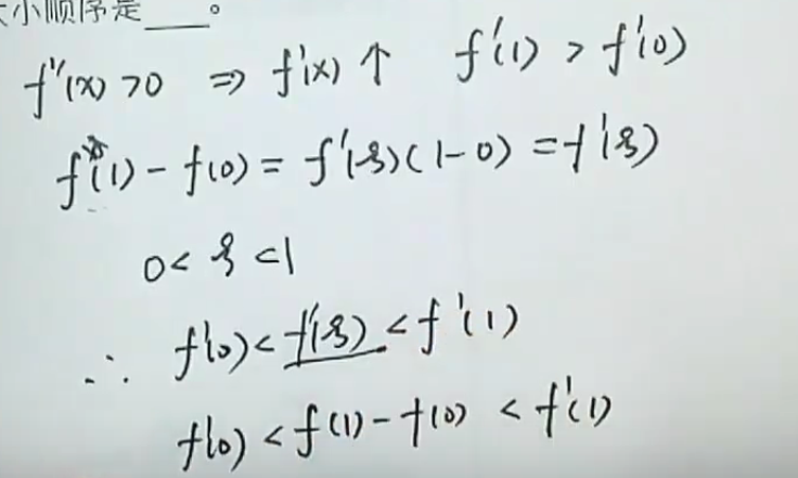
当减去的右值也是一个变量的时候

我们只能大刀阔斧进行改变

 计算题必须写这样的过程

但是填空题可省略过程

注意:

可导必连续 

何为连续?极限存在时 即为连续 

连续不一定可导

但是当分段的时候

我们就要针对左右导数同时进行判断

 

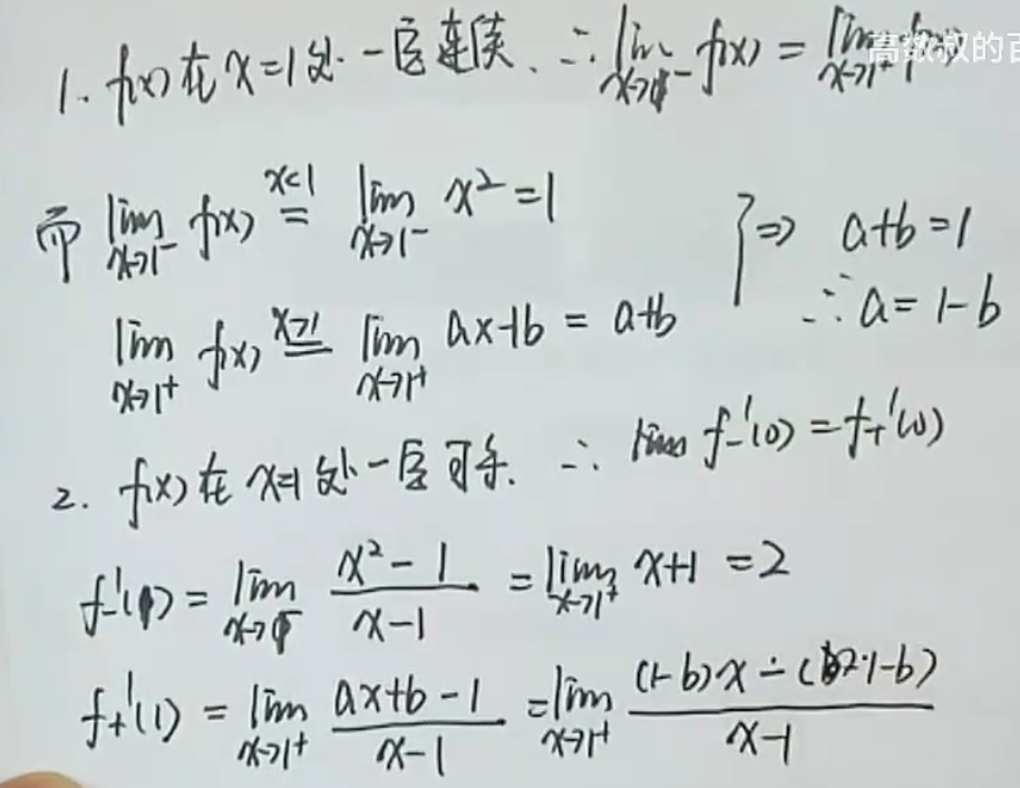
连续性和可导性:

 

 例子:

 在1处可导·那么在1处一定是连续的

连续那么对于分段函数来说左右极限都相等

可导也一样

左右导数也是相等

 

 一定要发现连续这个性质

可导必连续  连续不一定可导

 注意:

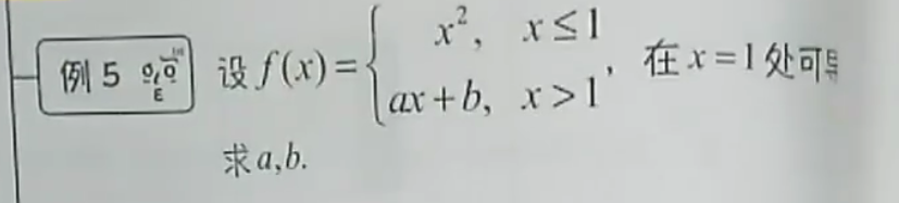
分段函数:

开区间直接求导

分段点处我们要用定义来求导

 

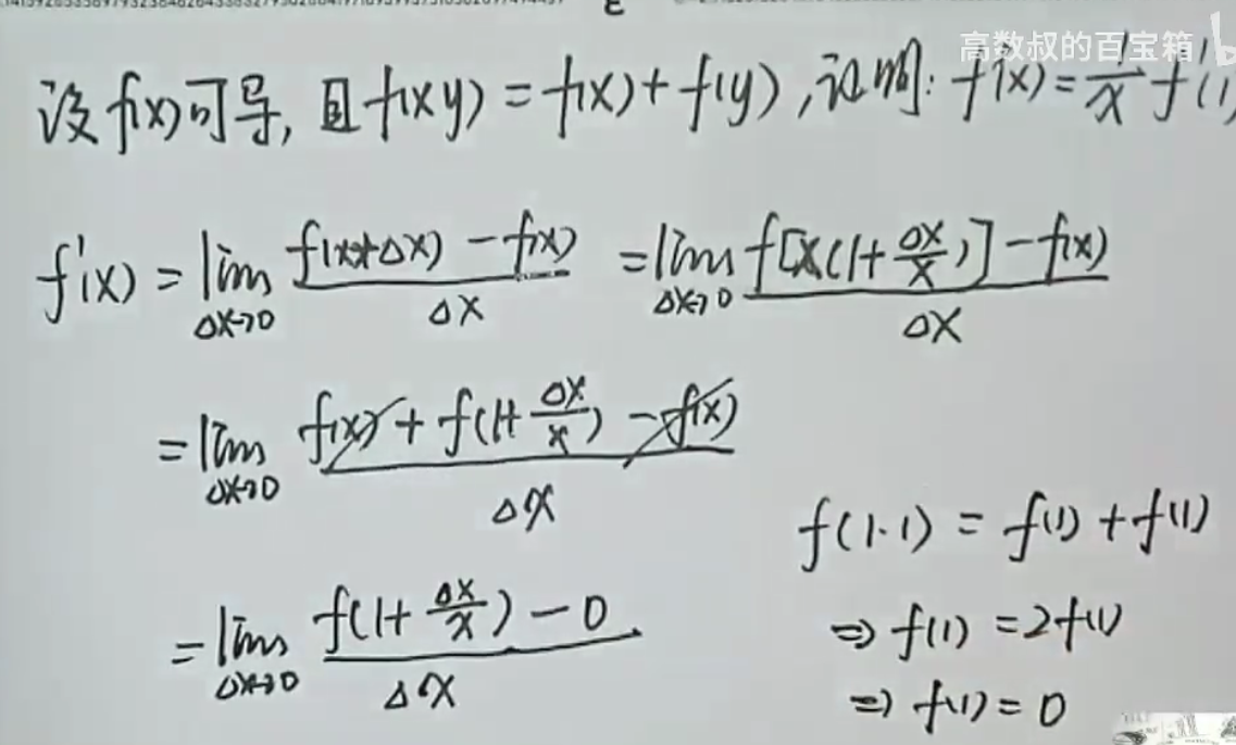
 用定义证明

 

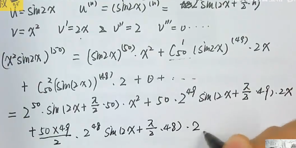
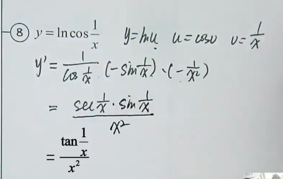
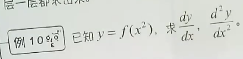
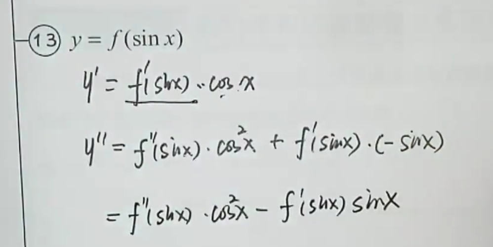
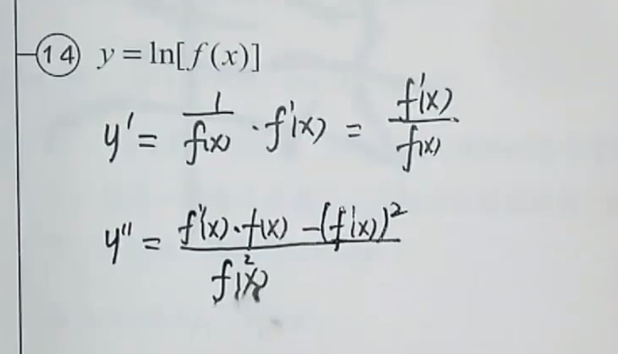
复合函数求导:

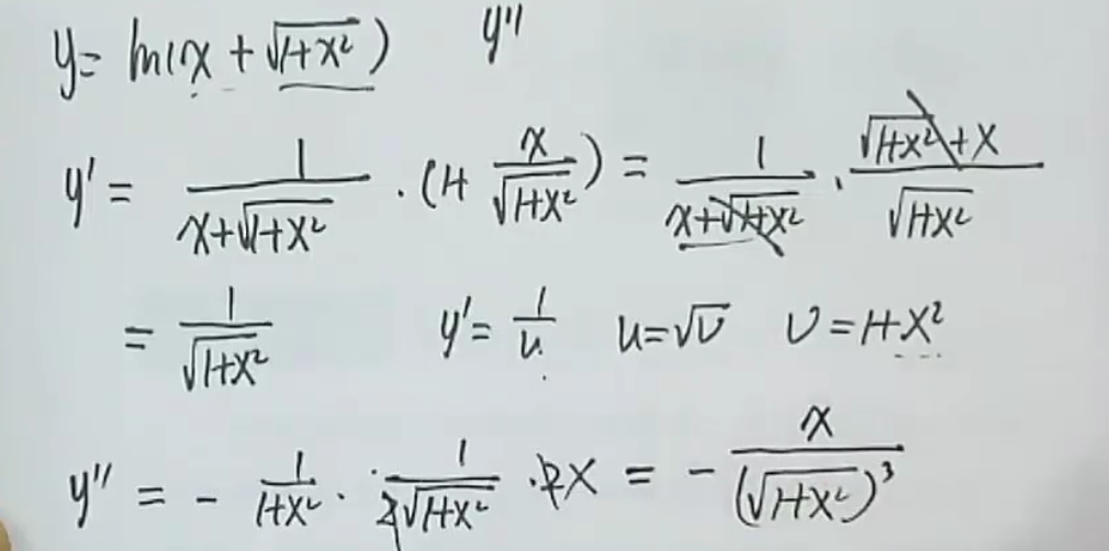
 二阶导:

 

 

 

结论:

 习题:

 

 

 

 

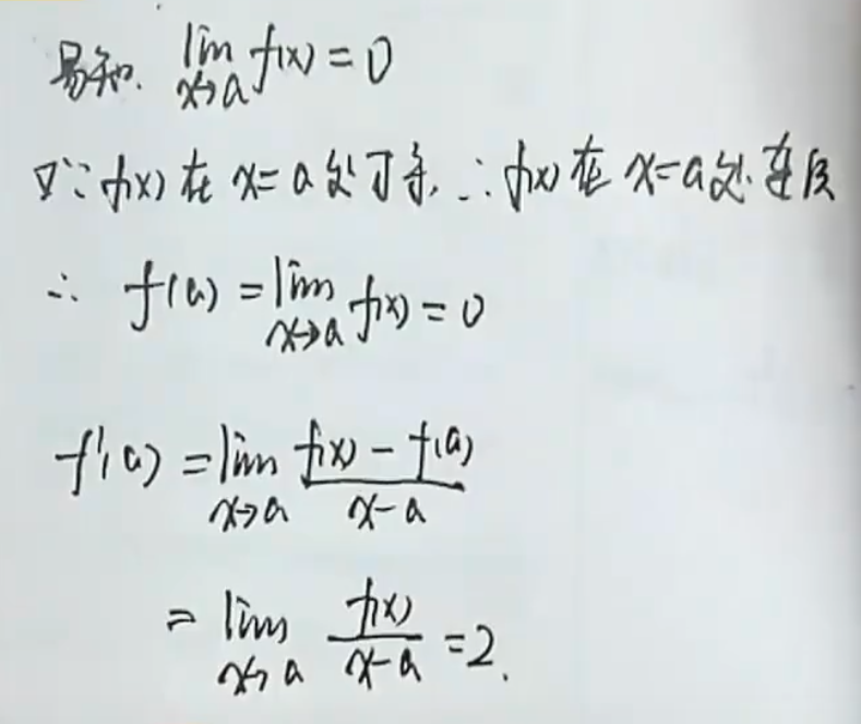
由于在0处的导数值极限不存在

因此它在0处是不可导的

 

变式: 

 

 

 

 

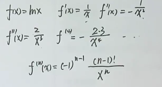
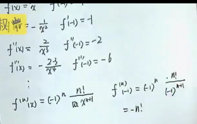
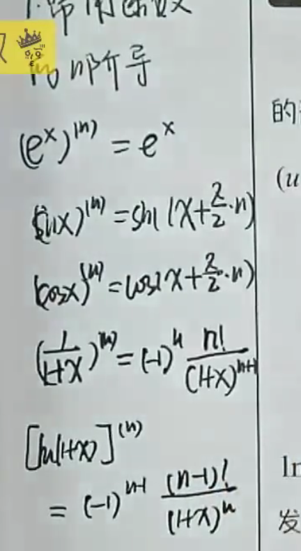
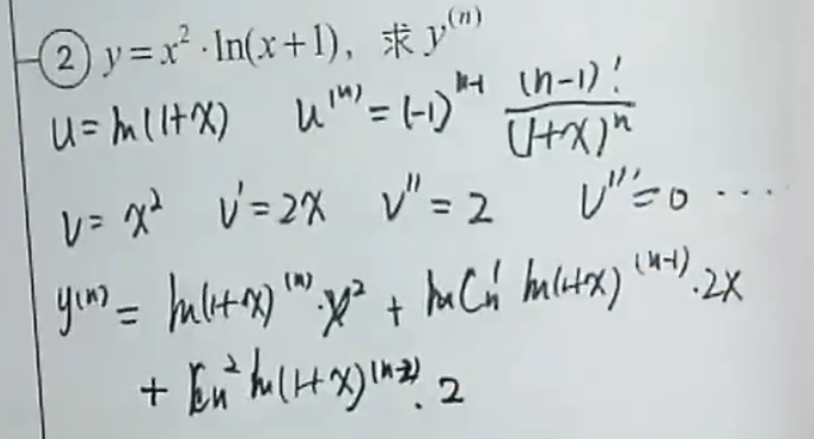
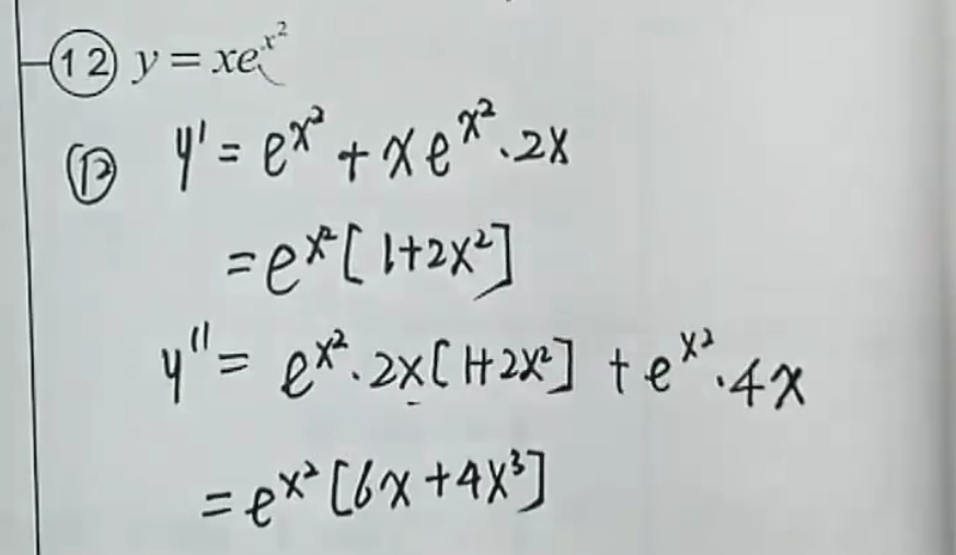
常用函数的阶导

莱布尼兹公式: 

 

 

那么遇到一个高阶求导:

怎么判断U怎么判断V呢?

一般来说:U是比较好求导的那个

V是随着求导次方逐渐降低的 

 例子:

一般来说:U是比较好求导的那个

V是随着求导次方逐渐降低的 

所以这里把可以降次数的x设置为v

因为lnx的n阶导容易求出来

因此把lnx设置为u

隐函数:

 例题:

隐函数求导:

对方程两边分别进行求导运算

 

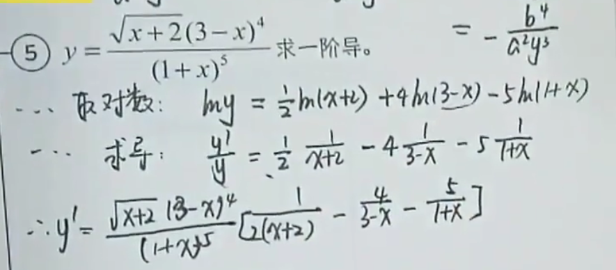
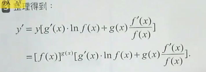
对数求导:

 

 

 先对这个复杂的式子进行两边取对数

然后两边进行求导

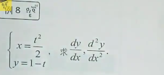
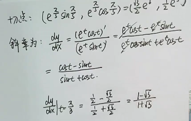
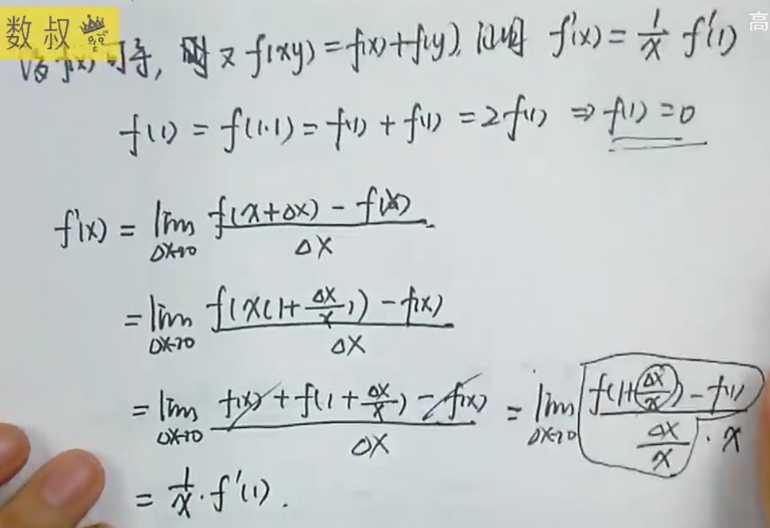
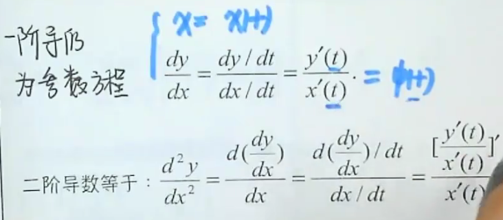
参数函数求导:

 

例子:

注意:

这里的dy/dx是y与x的函数式分别进行求导然后进行比值

而不是下图所示

参数方程求二阶导:

一阶导再求一次导/x对t求一次导 

 

 

 

 

 

P8 

 

 

 

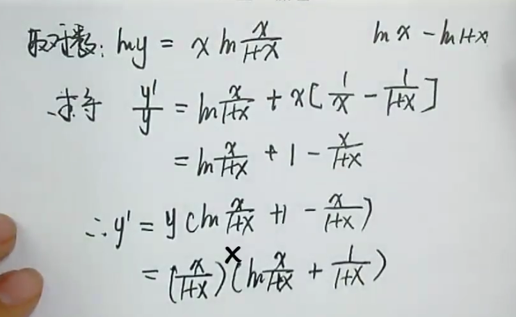
对于幂函数 我们取对数求导:

 

 参数方程的一阶导等于:对y表达式进行求导再比上对x进行求导

二阶导:对一阶导表达式求导比上对x表达式进行求导

 

 

 

 

 

 

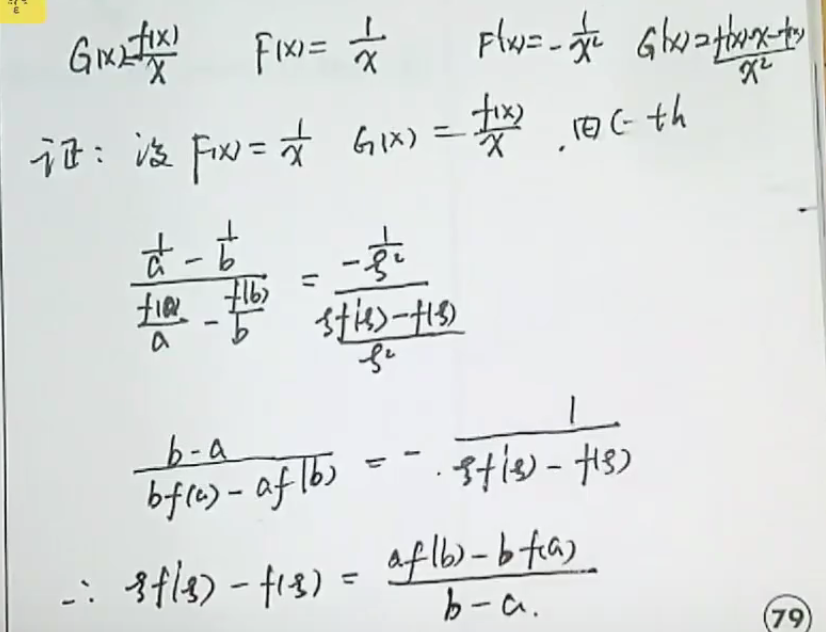
 罗尔定理:

 

 

 

 

 

 

 

 

 

 

 

 

 

当出现表达式相减的时候

我们想着构造函数  利用拉格朗日中值定理

 

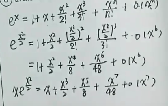
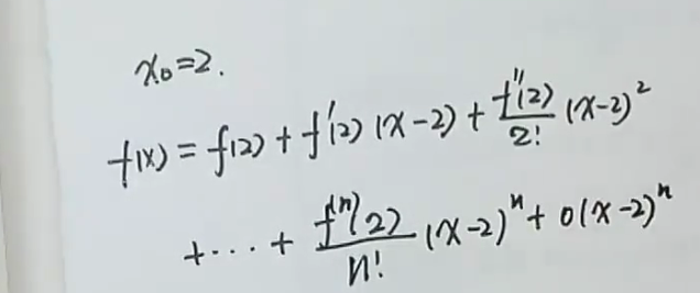
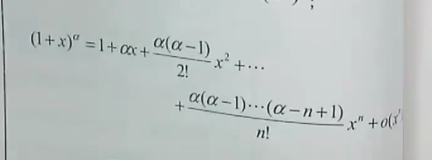
泰勒公式:

 

‘尽量背下来:

 

 

 

 

 例子:

展开三阶泰勒公式

拉格朗日余项是四阶导数的

所以要多求一阶的导数

 

 

 

 

 

 

按照x-2展开之后

我们可以知道带入的是f(2) 

求佩亚诺型余项是不需要求多一项的

 

展开到n阶的麦克劳林公式

麦克劳林公式是泰勒公式的一种特殊情况

当x0=0时进行的展开

那么e的x次方只要展开到n-1阶就可以了

 

麦克劳林公式的余项是佩亚诺型余项

 

 

 

 

 罗尔定理:

 

 

 

柯西中值定理:

 

 

 

 

 

 

利用公式:间接法

 

 

 

 

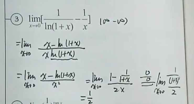
洛必达:

 

这一种情况分子分母都趋近于无穷大

 但是分子与分母都是震荡变化的 因此求导之后极限是不存在的

那么我们就采用抓大头的方法

找到变化速率最快的x

分子分母同时除以x得出结果

 

 

 

 

 

 

 注意:

 

 

 

 

 

 

 

 拐点一定是坐标的形式

 

 

 

作图的步骤:

 

 

 

 

 

 

 

 习题:

 

 

 

 

 

视频刷完了

开始刷题

刷完就刷书  

 

 

 

 

 

 

 

 

 

 


版权声明:本文为m0_61784000原创文章,遵循 CC 4.0 BY-SA 版权协议,转载请附上原文出处链接和本声明。
原文链接:https://blog.csdn.net/m0_61784000/article/details/121352915