高等工程数学 突击笔记2
写在前面
提示:这里可以添加本文要记录的大概内容:
本文主要是为了应付考试,因此很多原理并不做推导
提示:以下是本篇文章正文内容,下面案例可供参考
一、谱半径
谱半径是一个函数,但它不是矩阵范数。它可以给出特征值(谱)的范围,还可以用来研究矩阵级数的收敛性
谱半径就是矩阵范数值的最大下界
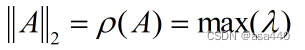
当矩阵是正规矩阵时* 2范数就等于谱半径等于最大的特征值*
什么是正规矩阵
往年试题常见的是
H表示共轭转置,就是转置之后再把里面的数取个共轭
例20年第二题

之后只要计算出最大的特征值就可以了

矩阵级数敛散性判断
作为没学过级数的数二选手,只能写一些应付考试的东西了
因为书上例题和往年试题给的幂级数的收敛半径都是1 就姑且当作此类题就是拿谱半径和1比较
大于1则发散,小于1则收敛
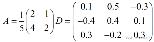
例书P35
矩阵A可以直接求谱半径等于0.8,但是矩阵D全是0.几不好求,这时考虑到谱半径是矩阵范数的下界,因此找一个好求的范数算一下,求得D的无穷范数为0.9小于1,因此D的那个幂级数收敛。
二、条件数
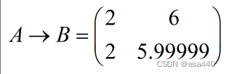
举个栗子

给A加一丢丢扰动
可以看到一点点的扰动对结果产生了很大的影响,这就说明矩阵A是病态的,条件数越大的矩阵
数据引自: 矩阵论(六):矩阵的条件数
条件数的定义
最常见的2条件数就是拿最大的特征值比最小的特征值

条件数求误差
一个公式

例书1.39
懒得写了
总结
第一章考点差不多就这么多,如果实在想不起来就求个特征值写上去
版权声明:本文为qq_51404184原创文章,遵循 CC 4.0 BY-SA 版权协议,转载请附上原文出处链接和本声明。