
这道题目编的比较好,第一问就构造的特别巧妙
(1) f(x)’ = f‘(1)e^(x-1) – f(0) + x f'(1) = f'(1) – f(0) + 1, f(0)=1
f(x) = f'(1)e^(x-1) – f(0)x + 1/2x^2 f(0) = f'(1) e^(-1) f'(1) = e
![]()

这里是比较奇怪的,因为这道题目的约束条件是x,但是求的最值是(a+1)b, 这道题目的正常做法就是由不等式关系恒成立,推出a和b必须满足的条件,然后再来求(a+1)b的最值,这样有点模糊。但幸好f(x)的形式比较简单。
f(x)= e^x – (a+1)x – b >=0 求(a+1)b的最大值。 这里想到规范化的技巧能够减小计算量令k=a+1
f(x)= e^x – kx-b >=0, 求kb的最大值。
f‘(x) = e^x -k , 当k<0 时,f'(x) > 0 f(x)>=f(0)>=0 =>b>=0
当k>0时,f(x)>=f(ln(k)) = k-klnk-b>=0
上面的题目等价于k-klnk>=b时,求bk的最大值
bk<=k^2-k^2ln(k)
令f(k)=k^2-k^2ln(k)
这道题目其实是用极值点防缩,然后巧妙的实现了消元,其中第二步依赖于b刚好可以消元。
已知b-k+klnk<=0, 求-bk的最小值,可以尝试用拉格朗日数乘法+KKT条件做
构造L(b,k) = -(bk) + λ(b-k+klnk)
L对b求导 -k + λ = 0, λ=k
L对k求导 -b + λ(-1+1+lnk)=0 -b + λln(k)=0
两个等式解得 kln(k) = b 2klnk – k =0, 解得k=0,或者k=exp(1/2) b=exp(1/2)*1/2,
bk的最大值时exp(1)/2, 容易严重满足KKT条件
实际上,这道题目一上来直接套用凸优化的拉格朗日乘数法+KKT条件也是可以做出来的,其中关于x的偏导数为0的方程就是第一个部消去的步骤。
这道题目还可以用几何意义做出来,这也是拉格朗日乘数法和KKT条件的几何意义。


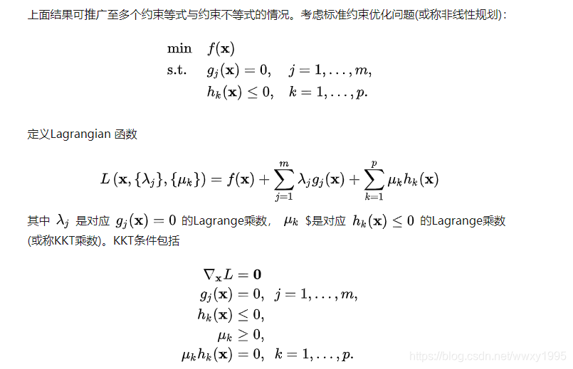
附录KKT条件的结论。
