幂迭代法,和逆幂迭代法
写在前面
承接笔记3,先补一个盖尔圆的题目


如果特征值是复数,则会有成对出现,并且两个特征值的位置关于实轴对称
题目引自: 南理工-高等工程数学突击
一、幂迭代法
对于五次或五次以上的多项式方程一般没有公式求解,所以对阶数较大的矩阵,其特征值计算往往非常困难。幂迭代法是一种近似求得特征值的办法。
幂迭代法可以得到按模最大的特征值
主要证明如下,不看证明也行
1. 将A的特征值从大到小排列

2. 这些特征值对应的特征向量为

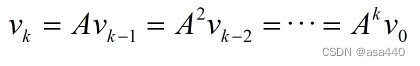
3. 任取一个非零向量v0,用A构造一个向量序列

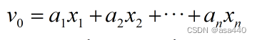
4. 把v0用特征向量表示出来

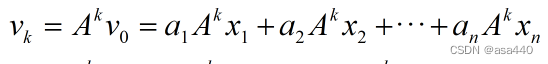
5. 带入Vk


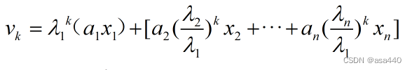
6. 将最大的λ1提出来


7. 因此

这里的i表示向量的第i个分量
写出来的步骤就是
-
对A使用幂法,求出其按模长最大的特征值λ。
-
任取

-
则

-
有

那么Vk也就近似于λ1对应的特征向量x1
二、逆幂迭代法
逆幂迭代法可以求得矩阵A的最小特征值,其思路就是对A的逆矩阵进行幂迭代,得到的最大特征值就是A的最小特征值的倒数。

三、规范化迭代方式
由

可知

为了克服这一问题,通常采用规范化迭代方法。具体做法为:每一次都将迭代向量的最大分量化为1之后,再带入下一次迭代。

这样的话在k足够大的时候

四、A分解
实际计算中可以先把A做LU分解,其余不变

在逆幂法中

例
19年第二题

注意两种迭代法只能求出最大和最小特征值,而对于靠近λ的问题可以转化成求 A-λI 的最小特征值。


选列主元分解与LU分解的区别就是在A前面加个P,留到第三章再说
总结
第二章结束,第三章下星期再说
版权声明:本文为qq_51404184原创文章,遵循 CC 4.0 BY-SA 版权协议,转载请附上原文出处链接和本声明。